- Thread Starter
- #21
@KSTR
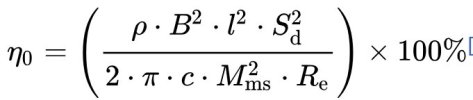
If we look at the equation for transducer efficiency we see the same thing. We don't really care about the length of conductor; we care about the volume of conductor.
Where
is a constant.
Then substituting Beta for (B^2)(l^2)/Re = (B^2)Volume of conductor/resistivity N^2/W. The efficiency dependence on length disappears. The true dependence is on volume and we clearly see the 1/Mms^2, Sd^2, and Beta dependencies.
A theoretical rectangular wire example when a manufacturer has an 8 ohm and a 4 ohm version of the same transducer and voice coil and magnetic assembly dimension are the the same, then length and cross-section of conductor are different accordingly (the condition that you describe but relative to position), 1.0 W @ 1.0 m sensitivity will be approximately the same but 2.83 V @ 1.0 m will exhibit a 3 dB delta. Note that the 4 ohm version will have a greater packing factor and the 4 ohm version will be slightly more efficient because the volume of conductor will be slightly higher with less insulation, remembering that the amplifier sees the entire coil.
UPDATED AND CORRECTED!
If we look at the equation for transducer efficiency we see the same thing. We don't really care about the length of conductor; we care about the volume of conductor.
Where
is a constant.Then substituting Beta for (B^2)(l^2)/Re = (B^2)Volume of conductor/resistivity N^2/W. The efficiency dependence on length disappears. The true dependence is on volume and we clearly see the 1/Mms^2, Sd^2, and Beta dependencies.
A theoretical rectangular wire example when a manufacturer has an 8 ohm and a 4 ohm version of the same transducer and voice coil and magnetic assembly dimension are the the same, then length and cross-section of conductor are different accordingly (the condition that you describe but relative to position), 1.0 W @ 1.0 m sensitivity will be approximately the same but 2.83 V @ 1.0 m will exhibit a 3 dB delta. Note that the 4 ohm version will have a greater packing factor and the 4 ohm version will be slightly more efficient because the volume of conductor will be slightly higher with less insulation, remembering that the amplifier sees the entire coil.
UPDATED AND CORRECTED!
Last edited:
